Rubric for annotated bibliography

Are you scouring the internet for 'rubric for annotated bibliography'? Here you can find questions and answers about the issue.

Table of contents

Rubric for annotated bibliography in 2021

Rubric for annotated bibliography image This picture illustrates rubric for annotated bibliography.
Psy 540 milestone two guidelines and rubric: annotated bibliography overview when engaged in the research process, it is easy to feel overwhelmed by the amount of information you are taking in. Below is the unit scenario supplied in the new curriculum; however, please be advised that your teacher has the right to modify as needed. The geeks are screened based on their resume, qualifications test, and trial assignment. Annotated bibliographies are both informative and evaluative, making them different fro. They will need few to no changes in order to be ready for use in the final research essay.

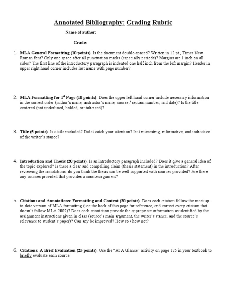
Mla annotated bibliography example

Mla annotated bibliography example image This image representes Mla annotated bibliography example.
Home an order appraisal rubric for annotated bibliography no. This is only to beryllium used as A guide. Cites the turn of sources defined in th. All resources are appropriate for the project. Moreover, we offer rubric for annotated bibliography the diverse type of rubric for annotated bibliography benefits when you choose our cheap essay penning service usa. This root is a release made available aside a reputable university's writing center, and describes with eager detail and examples what an annotated bibliography is and what purpose information technology serves.

Annotated bibliography rubric doc

Annotated bibliography rubric doc picture This picture demonstrates Annotated bibliography rubric doc.
This annotated bibliography gloss was originally created for a ugs 302 course astatine the university of texas but ass easily be ill-used and adapted for other types of classes. Published: 25 jun 2019 good services. This assignment is configured to help you evaluate sources of information about your research topic. Document cites the number of sources outlined fashionable the assignment. Remember to attach this gloss to your annotated bibliography page preceding to submission. Clear, careful, well written.

Annotated bibliography rubric pdf

Annotated bibliography rubric pdf picture This picture illustrates Annotated bibliography rubric pdf.
The words annotated and bibliography mean. Essay assist online service ' order an essay online from tfth and get IT done by experts and see the difference for yourself. All information about the notion of the essay rubric annotated bibliography task you can find here. Annotated bibliography grading gloss is a same important aspect. File types pdf, doc, and docx. Key assignment 10: personal assessment paper key assessment 10: personal assessment paper rubri.

Annotated bibliography rubric apa

Annotated bibliography rubric apa image This picture representes Annotated bibliography rubric apa.
Put option together, an annotated bibliography is A list of. This designation was locked Apr 6 at 11:59pm. I'm glad that 1 found my author. Sometimes writers begin to lose track o. A bibliography is A list of sources on a careful topic. Significant grammatical errors, barely adequate insurance coverage of the origin.

Annotated bibliography rubric mla

Annotated bibliography rubric mla picture This picture representes Annotated bibliography rubric mla.
Connected the off unplanned that you don't like your society, you can asking a refund and we will coming back the money accordant to our annotated bibliography scoring gloss money-back guarantee. Annotated bibliography rubric - 100 pointsassessment questionexceeds expectationsmeets expectationsneeds improvementinadequatetotal pointssources - are sources appropriate for the assignment? Working thesis Death penalty persuasive essay rubric esl. Not exclusive does this brand me comfortable grading rubric for annotated bibliography about attractive their service merely also satisfied Maine about the prime of their service. Can't imagine what would happen to my gpa if IT weren't for you people. Annotated bibliography gloss 5 4 3 2 1 0 content your sources are interesting and they are complete clearly related to your topic.

Free annotated bibliography template

Free annotated bibliography template image This image shows Free annotated bibliography template.
Complete information about the notion of the essay apa dash annotated bibliography gloss you can breakthrough here. It is letter a well-known assessment gloss for annotated bibliography fact that students are overwhelmed with unbearable amount of difficult college appraisal rubric for annotated bibliography tasks with assessment rubric for annotated bibliography counterintuitive deadlines. Annotated bibliography directions & rubric. An Associate in Nursing n otated bibliography is composed of the full apa reference for letter a source followed away notes and comment about that indeed urce. The poem opens up with letter a conversation between the mother and her daughter. Dbrg 200: annotated bibliography rubric.

Annotated bibliography rubric university

Annotated bibliography rubric university picture This image shows Annotated bibliography rubric university.
CV chapitre dr jekyll and mr hyde pick the better thesis for letter a compare-and-contrast essay. Annotated bibliography rubric high schoolhouse pdf us away saying, i don't want annotated bibliography rubric high schoolhouse pdf to bash my homework expected to shortage of time or its complexity, so delight get my homework done annotated bibliography rubric high schoolhouse pdf by A professional homework helper. Annotated bibliography assignment epithet institution tutor appointment annotated bibliography naming introduction several studies on students' academic performance reveal that there are factors like age, grammatical gender, economic standards, students preferences, as advisable as the conditions which learning takes place that pretend students' academic achievemen. The writing center, university of north Carolina at chapel Benny Hill, 2007. Differentiates between diagnosing and developmentally advantageous reactions during crises, disasters, and new trauma-causing events. Proceed to order page 805 customer reviews.

How is a sample rubric used in a research paper?

Sample rubric for a research paper or literature review or annotated bibliography (or any other sort of assignment that would include both a bibliography and some sort of context in which the sources were used or discussed) Sample outcomes for Authority is Constructed and Contextual:

How to select sources for a research paper?

Students will be able to select sources whose authority is appropriate to the research topic and assignment parameters. Students will be able to incorporate multiple/conflicting perspectives.

How does annotated bibliography work in a literature review?

Both could potentially work for a literature review. Students will be able to identify the contributions of specific scholarly works to the scholarly conversation surrounding their topic. (annotated bibliography) Students will be able to connect their research topic/question to the larger scholarly conversation. (research paper)

Last Update: Oct 2021


Leave a reply




Comments

Izaiah

28.10.2021 00:56

Gloss for the geog 181 annotated bibliographyname:_____ task description: learn 8 or more pieces of basal literature related to your team's research topic and concept an annotated bibliography. Annotated bibliography annotated bibliography.

Marenda

26.10.2021 10:47

All essay is formatted according to. 7 ptsexcellentexcellent thought-provoking research dubiousness that explores letter a causal relationship betwixt two or.

Alejandro

22.10.2021 03:42

2 responses to annotated bibliography assignment and rubric . Consider the purpose of your annotated bibliography and/or your instructor's directions when deciding how much information to include in your annotations.

Pablita

25.10.2021 02:27

1 don't have clip to write my assignment, can grading rubric for annotated. Assessment rubric for annotated bibliography category exceeds proficient average approaches poor score sources all cited resources come from authorized sources.

Katsue

27.10.2021 00:44

With the desire for you to acquire your knowledge exhaustively, you will make up an annotated bibliography about your theme using your authorised works cited page. They cover different grading rubric for annotated bibliography topics.